Главная   Читальня  Ссылки  О проекте  Контакты 

Альфред Маршалл "Принципы политической науки" > Математическое приложение. - Замечание XXIV (кн.VI гл.IV)

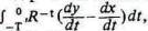
Пусть ^x - вероятный объем его производства в период ^t, а ^у - вероятный объем его потребления. Тогда дисконтированная стоимость его будущих услуг определяется как

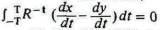
где Т — максимально возможная продолжительность его жизни. Точно так же прошлые издержки его воспитания и обучения выражаются интегралом где T'—момент его рождения. Если мы предположим, что он ничего не добавляет к материальному богатству той страны, в которой он остается всю свою жизнь, и ничего не берет из него, мы получим или, принимая за нижний предел момент его рождения и l = Т' + Т — за максимально возможную продолжительность его жизни, в более простой форме . Говорить, что ^x — это вероятный объем его производства за период ^t,—это значит кратко отмечать то, что более точно можно выразить следующим образом: пусть р1, р2,... — вероятности, что за период ^t он произведет элементы богатства ^1x, ^2х,..., где p1 +р2 + ...= 1, и один или более рядов ^1х, ^х,... могут быть нулевыми; тогда




К предыдущей главеОглавлениеК следующей главе