Главная   Читальня  Ссылки  О проекте  Контакты 

Альфред Маршалл "Принципы политической науки" > Математическое приложение. - Замечание XII bis (Приложение F )

В статье, опубликованной Giornale degli Economisti в феврале 1891 г., проф. Эджуорт приводит показанную ниже диаграмму, на которой представлен случай прямого обмена яблок на орехи, описанный в Приложении F . Количество яблок измеряется по оси Ох, а орехов — по Оу. Ор = 4, pa =40, а точка а представляет окончание первой сделки, в которой четыре яблока обменены на 40 орехов. В данном случае преимущество вначале на стороне А (b представляет вторую, а с — последнюю стадию случая). Точно так же а' представляет первую, b' - вторую, с' — третью и d' — последнюю стадии случая, в котором сначала выгоду получает сторона В. QP— траектория, на которой должны обязательно лежать с и d' проф. Эджуорт назвал ее кривой контракта.

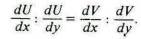
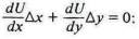
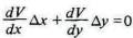
По методу, изложенному им в его "Математической физике" (1881), он выражает через U общую полезность для A яблок и орехов в момент, когда он уже отдал х яблок и получил у орехов через V — общую полезность для В яблок и орехов в момент, когда тот уже получил х яблок и отдал у орехов. Если дополнительные ^x яблок обмениваются на орехов, обмен безразличен для А, когда и безразличен для В, когда

Эти выражения представляют, таким образом, уравнения кривых безразличия ОР и OQ, и кривая контракта, являющаяся геометрическим местом точек, в которых условия обмена, безразличные для А, так же безразличны и для В, выражается изящным уравнением

Если предельная полезность орехов постоянна для А, а также для В dU/dy и dV/dy - константы, U становится ф(а - х) + а * у, V становится Ш (а — х) + в * у и кривая контрактов становится F(x) = О или х=С, т.е. прямой линией, параллельной Оу, а значение ^у : ^х, задаваемое каждой кривой безразличия, является функцией С. Таким образом, мы видим, что, с какой бы траектории ни начинался бартерный обмен, равновесие достигается в той точке, до которой доходит С по яблокам, и конечная пропорция обмена является функцией С, т. е. также константой. Это последнее приложение предложенной проф. Эджуэртом математической версии теории бартерного обмена, которое приведено для подтверждения результатов, содержащихся в тексте, было впервые разработано г-ном Берри и опубликовано в Giomale degli Economisti в июне 1891 г.

Попытка проф. Эджуорта представить U и V как общие функции х и у, очень привлекательна для математиков, но, кажется, менее пригодна для отражения повседневных фактов экономической жизни, чем представление предельных полезностей яблок функцией просто х, как делал Джевонс, В этом случае, если А вначале вовсе не получает яблок, как предусматривается анализируемым случаем, U принимает форму

равно как и V. Тогда уравнение кривой контракта принимает форму

которая представляет собой одно из уравнений обмена Джевонса ("Theory", 2nd Edition, p. 108).




К предыдущей главеОглавлениеК следующей главе